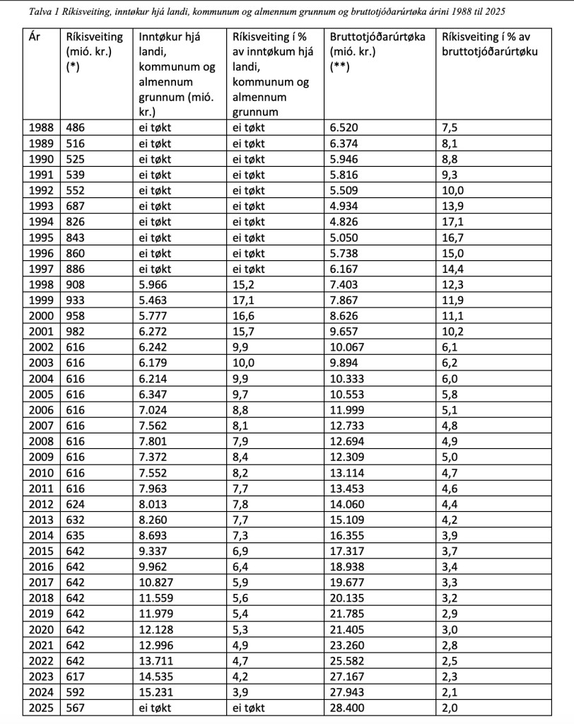
Danska ríkisveitingin er nú undir fýra prosent av inntøkunum hjá tí almenna - og eini tvey prosent av okkara bruttotjóðarúrtøku.
Tað vísir ein uppgerð frá Ruth Vang landsstýriskvinnu í fíggjarmálum.
Erling Eidesgaard, løgtingsmaður fyri Tjóveldi, hevur spurt Ruth Vang, landsstýriskvinnu í fíggjarmálum, hvønn týdning Ríkisveitingin úr Danmark í roynd og veru hevur fyri Føroyar
Hann vísir á, at um aldarskiftið táttaði ríkisveitingin í milliardina og tá var hon útvið tjúgu prosent av inntøkunum hjá øllum tí almenna, ella landskassanum, kommunum og almennum grunnum.
– Men nógv vatn er runnið í ánni síðan tá og tað er neyvan at taka munnin ov fullan at siga, at tað er langt ímillum føroyingar, sum bretta sær á av at móttaka hesa veiting, ið er fíggjað av donskum skattgjaldarum, sigur hann.
Í hesum sambandi hugsar hann um, at vit hava hægri bruttotjóðarúrtøku fyri hvønn íbúgva enn tey hava í Danmark.
– Men vit brúka ríkisveitingina, sum vit hava hug, tí hann er ikki markaður til ávís endamál.
Ríkisveitingin er minkaður við tíðini, so hann í dag er komin niður ímóti hálvari milliard og nú er hann undir fimm prosent av inntøkunum hjá tí almenna - og undir tvey prosent av Bruttotjóðarúrtøkuni.
– Varð hann avtikin í einum, høvdu vit tí neyvan merkt meir enn eitt lítið sveiggj í búskapinum, heldur Erling Eidesgaard.
– Men hóast ríkisveitingin nú bara er ein fíggjarligur viðfáningur, fyllir hon framvegis nógv í politiska kjakinum, staðfestir hann.
Í hesum sambandi hevur Ruth Vang sett eina talvu upp sum vísir, hvussu stóran - ella lítlan týdning, ríkisveitingin hevur havt, og hevur fyri føroyska samfelagið.
Men hon ger vart við, at her er bara talan um sjálva ríkisveitingina og ikki um aðrar útreiðslur hjá danska statinum í Føroyum, sum eisini eru nakrar hundrað milliónir.
Hon sigur eisini, at stór óvissa er um bruttotjóðarúrtøkuna fyri árini 1988 til og við 1997, og Bruttotjóðarúrtøkan fyri í ár er ikki gjørd upp.
Búskaparráðið hevur gjørt metingirnar fyri árini 1988 til 1997, og metingina fyri í ár, men tað er kortini stór óvissa um tær, sigur Ruth Vang.
